October 13, 2024
By Clinton Mirrors Ampaire
In a critical development regarding the ongoing humanitarian crisis in Gaza, U.S. Secretary of State Antony Blinken and Secretary of Defense Lloyd Austin have formally called upon the Israeli government to take immediate steps to reverse policies that have severely restricted the flow of humanitarian aid into the region. The letter, addressed to Israeli Defense Minister Yoav Gallant and Minister of Strategic Affairs Ron Dermer, stresses the need for urgent intervention to alleviate the suffering of more than 2 million civilians in Gaza.
The letter, dated October 13, 2024, expresses deep concern over the deteriorating humanitarian conditions in Gaza, which have worsened due to recent actions by the Israeli government. Despite previous assurances from Israel in March and April 2024 to facilitate the delivery of humanitarian assistance, the amount of aid entering Gaza has sharply declined. September saw the lowest levels of humanitarian aid delivery in over a year, with a reduction of more than 50 percent in comparison to earlier months. This drastic drop, compounded by new restrictions on movement and customs requirements, has left many essential supplies stuck at crossing points, exacerbating the already dire conditions in Gaza.
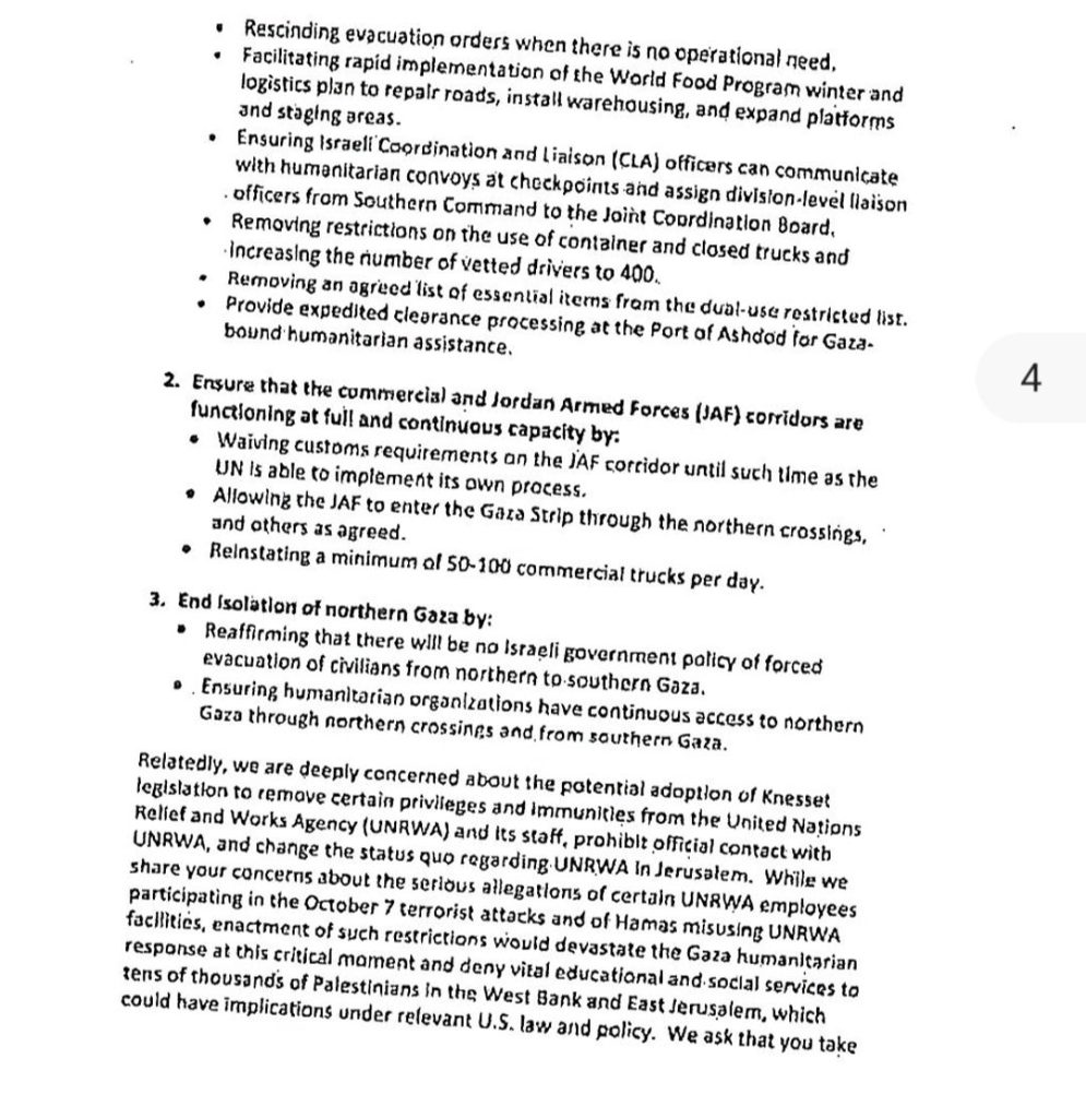
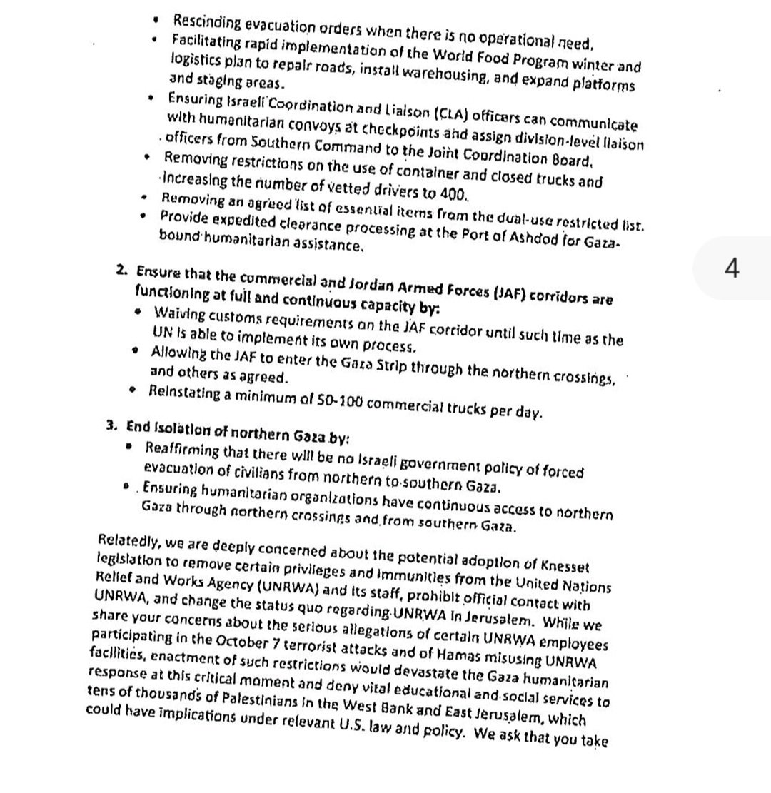
In their letter, Blinken and Austin urge the Israeli government to take “sustained actions” to ensure that aid is allowed to flow freely into Gaza. They highlight specific actions that must be taken immediately, including:
Surging humanitarian aid access ahead of winter: A minimum of 350 trucks per day must be allowed into Gaza, with sufficient security and logistical measures to ensure continuous aid delivery.
Ensuring adequate health services and food supplies: Recent reports show that humanitarian aid—especially essential goods like food and medical supplies—has been delayed at crossings. The U.S. calls for an increase in the number of vetted truck drivers and the opening of an additional crossing point to alleviate bottlenecks.
Reversing restrictions on civilian movement and evacuation: The letter emphasizes the need to lift evacuation orders in areas where there is no operational need and to ensure civilians are not forcibly relocated.
The U.S. officials also praised Israel’s recent success in administering polio vaccines to more than 560,000 children in Gaza, using it as an example of what could be achieved if humanitarian access were facilitated consistently. However, the current restrictions imposed on aid movements have raised concerns about the potential for an even greater crisis as winter approaches.
The letter also touches on a contentious issue involving the United Nations Relief and Works Agency (UNRWA), which provides vital assistance to Palestinian refugees. There are growing concerns that Israel may adopt legislation that would revoke the privileges and immunities of UNRWA staff, hampering their ability to deliver critical aid. The U.S. government has voiced its opposition to these moves, warning that such restrictions could have devastating effects on Gaza’s humanitarian situation.
Blinken and Austin reiterated the importance of UNRWA’s role in supporting Gaza’s vulnerable population, particularly in the wake of the October 7 terrorist attacks and subsequent accusations leveled against certain UNRWA employees. While the U.S. acknowledges the seriousness of these allegations, the letter stresses that limiting UNRWA’s operations at this crucial time would result in severe harm to tens of thousands of Palestinians reliant on its services.
With the humanitarian situation in Gaza reaching a breaking point, the letter represents a high-level diplomatic appeal for Israel to honor its previous commitments and take immediate steps to ease restrictions on humanitarian aid. The U.S. is urging Israel to begin implementing these measures within 30 days to prevent the situation from further spiraling out of control. If unaddressed, the looming winter months could push Gaza’s civilian population into an even more perilous state, with overcrowding and lack of resources heightening the risk of lethal contagion.
As the situation unfolds, all eyes are on the Israeli government’s response to the U.S. letter. The international community, including humanitarian organizations and UN agencies, is closely monitoring whether Israel will follow through on its obligations to facilitate the free flow of aid. Failure to do so could lead to further destabilization in Gaza, with far-reaching consequences for regional peace and security.

CMP Publications will continue to provide updates on this unfolding humanitarian crisis and the international efforts to alleviate the suffering of Gaza’s civilian population.
For more information and updates on global human rights issues, follow CMP Publications on Twitter and visit our website.